728x90
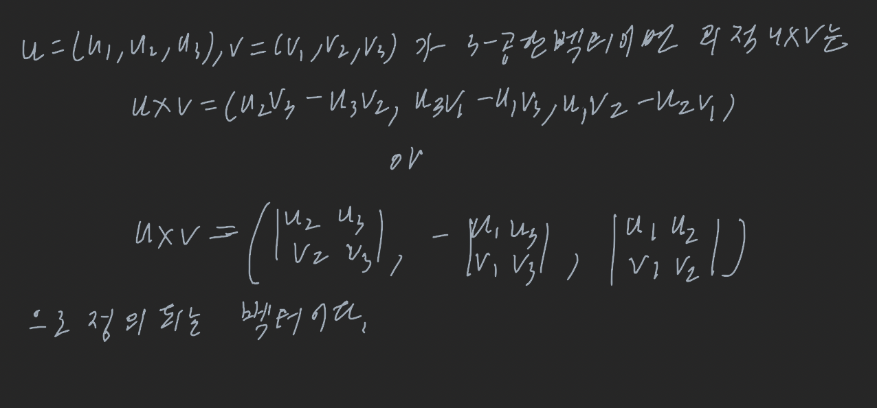
벡터의 외적



u, v가 3-공간의 벡터이면, ||u x v||는 u, v가 만드는 평행 사변형의 넓이이다.
||u x v|| = ||u|| ||v|| sin⍬
u, v, w가 3-공간 벡터이면
u(v x w)
는 u, v, w의 스칼라 삼중곱이라 한다



'수학 > 선형대수학' 카테고리의 다른 글
| 4.2 부분공간 (0) | 2021.04.19 |
|---|---|
| 4.1 일반 벡터 공간(실(수로 이루어진) 벡터공간) (0) | 2021.04.18 |
| 3.4 연립일차 방정식의 기하학 (0) | 2021.04.07 |
| 3.3 직교성 (0) | 2021.04.07 |
| 3.2 R^n에서의 놈, 점곱, 거리 (0) | 2021.04.07 |